安息香缩合反应
一、实验目的
1、学习安息香缩合反应的原理;
2、了解维生素B1的催化原理。
二、实验原理
安息香缩合反应一般采用氰化钾(钠)作催化剂,是在碳负离子作用下,两分子苯甲醛缩合生成二苯羟乙酮。但氰化物是剧毒品,易对人体危害,操作困难,且“三废”处理困难。 20世纪70年代后,开始采用具有生物活性的辅酶维生素B1 代替氰化物作催化剂进行缩合反应。 以维生素B1作催化剂具有操作简单,节省原料,耗时短,污染轻等特点。
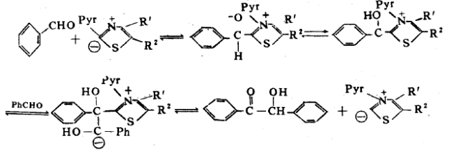
反应机理

三、实验试剂
维生素B1 苯甲醛 95% 乙醇 10% 氢氧化钠
四、实验步骤
1、50ml圆底烧瓶中,加入1.75g维生素B1,3.5ml水和 15ml 95%乙醇,摇匀溶解后将烧瓶置于冰水浴中冷却,用在冰水浴中冷透的10%的氢氧化钠溶液调节pH值至为9~10;
2、加入10ml新蒸苯甲醛,回流1.5h,水浴温度60~75℃,磁力搅拌;
3、反应物冷却至室温,析出浅黄色晶体,待结晶完全抽滤,用冷水洗涤,95%乙醇重结晶,得白色针状结晶,干燥,称重;
4、产率计算;
5、测定熔点。
五、操作重点及注意事项
1、反应溶液pH保持在9~10。
2、搅拌回流时间不能少于1.5h。
3、水浴加热时应严格控制温度,切勿加热过剧。
4、实验完毕,关好水电。
六、问题讨论
1、本实验为什么要使用新蒸馏的本甲醛?为什么反应溶液pH保持在9~10,过高或者过低会有什么影响?
2、安息香缩合、羟醛缩合、歧化反应有何不同?
七、主要试剂及产品的物理常数:(文献值)
名 称 |
分子量 |
性状 |
折光率 |
比重 |
熔点℃ |
沸点℃ |
溶解度:克/100ml溶剂 |
||
水 |
醇 |
醚 |
|||||||
苯甲醛 |
106.1 |
无色透明液体 |
1.5463 |
1.0415 |
-26℃ |
178℃ |
微溶 |
µ |
µ |
安息香 |
212.2 |
白色固体 |
1.5485 |
0.985 |
133℃ |
344℃ |
不溶于冷水 |
溶 |
微溶 |